![]() |
CAT Tracks for August 19, 2021
REGULAR BOE MEETING...AGENDA PLUS |
The Cairo Board of Education held a Regular Meeting on Thursday, August 19th, at 6 p.m.
The agenda is immediately below...
...followed by the CAT President's report and supporting documents:

CAT President's Report:
Called to order at 6 p.m.
All members present.
No examples of excellence.
Brittany Matthews asked about how Valedictorians and Salutatorians are selected. She had concerns with the multiple awards being given.
Maria Watkins asked about the uniform policy.
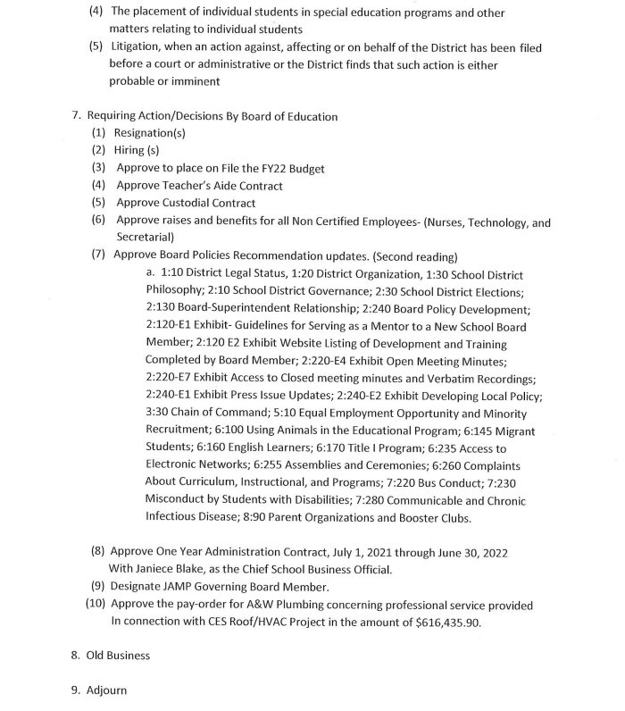
#4 Approved
#5 Enrollment at CES is 97 with 40 students not yet enrolled. CJHS/CHS is 63 with 58 not yet enrolled.
HVAC at the CJSHS is still being worked on.
Discussion on the start of school tabled for closed session.
The BOE voted to enter closed session at 6:50 p.m.
The BOE voted to exit closed session at 8:50 p.m.
No resignations or hirings
Approved Items #3-10. (Mary Coleman was designated as JAMP Governing Board Member.)
Due to on-going construction delays, the first day of student attendance has been moved from Monday, August 23rd to Wednesday, August 25th.
The BOE voted to adjourn at 9:00 p.m.
To read the unofficial minutes of the July 15th Regular Meeting...
...click here.
To read the unofficial minutes of the July 28th Special Meeting...
...click here.