![]() |
CAT Tracks for December 18, 2025
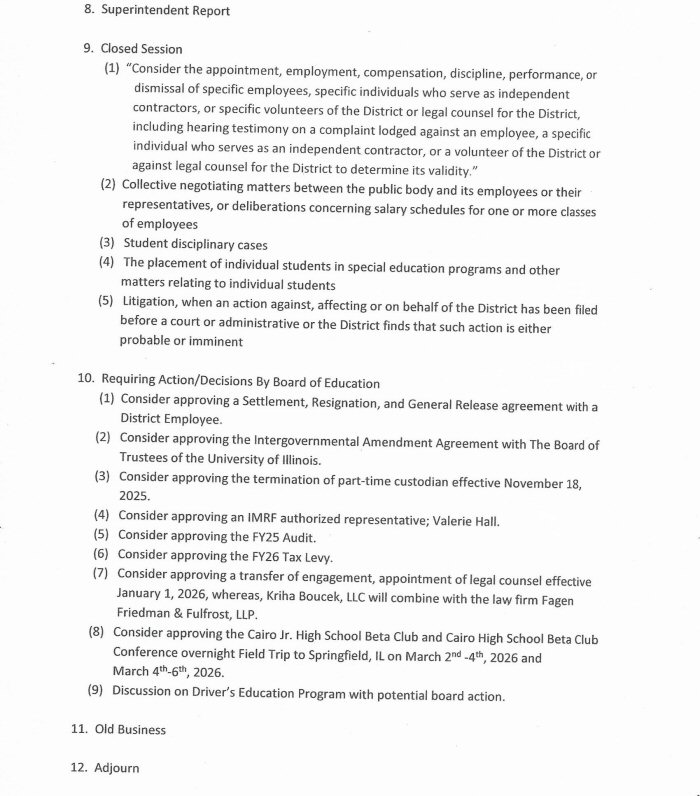
REGULAR BOE MEETING...NOTICE & AGENDA |
The Cairo Board of Education will hold a Regular Meeting on Thursday, December 18th, beginning at 6:00 p.m.
The notice and agenda are below...

Treasurer's Report Not Available